Разделы сайта

Основные положения синтеза систем методом модального оптимума

В этом случае используем интегральный регулятор:

Передаточная функция разомкнутой системы имеет вид:

Передаточная функция замкнутой системы:

Воспользуемся условием оптимизации:

Принимаем Тогда параметры настройки следующие:

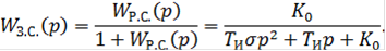
Подставим полученную формулу для расчета постоянной интегрирования в передаточную функцию замкнутой системы:

Полученная передаточная функция определяется только одним параметром σ. Она называется стандартной передаточной функцией.

) Объект включает n инерционных звеньев, одно из которых имеет существенно большую постоянную времени.

Чтобы уменьшить время регулирования, необходимо каким-то образом компенсировать инерционность объекта, связанную с наличием большой постоянной времени . Это можно сделать, используя более сложный регулятор - пропорционально-интегральный.

В качестве расчетной модели выберем следующую:

Передаточная функция разомкнутой системы:

Передаточная функция замкнутой системы:

Воспользуемся условием оптимизации.

Параметры настройки:

Подставим полученную формулу в передаточную функцию замкнутой системы:

3. Объект управления включает n инерционных звеньев, среди которых имеется два звена с существенно большими постоянными времени.

Для того чтобы компенсировать две большие инерционности, используем ПИД - регулятор.

Расчетная модель:

Выбираем .

Передаточная функция разомкнутой системы:

Видно, что передаточная функция разомкнутой системы аналогична передаточной функции разомкнутой системы в предыдущем случае. Передаточная функция замкнутой системы и параметры настройки имеет следующий вид:

Перейти на страницу: 1 2 

Самое читаемое:

Опыт и проблемы лицензирования телекоммуникационных услуг на материалах центра продаж и обслуживания клиентов Ростелеком
Российский рынок телекоммуникационных услуг замедляется в своем росте, однако в 2010 г. темпы были все еще довольно высоки - около 20%. Рынок услуг сотовой связи технологически неразрывно связан с использованием ограниченного национального ресурса - радиочастотного спектра страны. Данное обстоятельство обусловливает не ...

www.techstages.ru : Все права защищены! 2025