Разделы сайта

Основные положения синтеза систем методом симметричного оптимума

Объект управления, кроме инерционных звеньев 1-го порядка, может включать и интегрирующие звенья. В этом случае использовать метод модального оптимума уже нельзя.

В методе симметричного оптимума используется такой критерий, как и в методе модального оптимума, а именно, определенная форма АЧХ замкнутой системы.

В качестве базовой передаточной функции выберем следующую:

2.2.2 Вывод условий оптимизации

Аналитическое выражение для АЧХ замкнутой системы в соответствии с базовой передаточной функцией замкнутой системы.

Условия оптимизации имеют вид:

Если условия выполняются, то хотя бы на нулевой частоте график АЧХ замкнутой системы равен единице.

2.2.3 Вывод формул для расчета параметров настройки регуляторов в соответствии с методом симметричного оптимума

Рассмотрим случаи:

. Объект регулирования включает одно интегрирующее звено и n инерционных звеньев 1-го порядка с соизмеримыми постоянными времени.

Целесообразно использовать ПИ - регулятор.

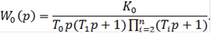
Передаточная функция разомкнутой системы:

Передаточная функция замкнутой системы:

Согласно условиям оптимизации:

Параметры настройки:

Подставим полученные формулы для в передаточную функцию замкнутой системы:

2. Пусть объект имеет N инерционных звеньев и одно звено имеет большую постоянную времени.

3.

Используем ПИД - регулятор.

Компенсировать большую инерционность можно за счет выбора постоянной дифференцирования: . Тогда передаточная функция разомкнутой системы будет иметь вид:

Передаточная функция разомкнутой системы имеет тот же вид, как и в предыдущем случае. Если использовать условия оптимизации, то получим те же выражения для . Таким образом, параметры настройки:

Самое читаемое:

Автоматизация технологических процессов в условиях технологического комплекса КК-АДСК-МНЛЗ ПАО МК Азовсталь, г. Мариуполь
Автоматизация управления технологическими процессами и производством играет важную роль в непрерывном увеличении выпуска продукции в нашей стране. Интенсификация и усложнение технологических процессов, рост единичной мощности агрегатов и повышение требований к качеству готовой продукции в соответствии с международными стандартами де ...

www.techstages.ru : Все права защищены! 2025