Разделы сайта

Условия самовозбуждения автоколебаний.

Генератор Колпитца (ёмкостная трёхточка), названный в честь его изобретателя Эдвина Колпитца, является одной из множества схем электронных генераторов использующих комбинацию индуктивности (L) с ёмкостью (C) для определения частоты, так же называется LC генератором. Одной из ключевых особенностей генераторов этого вида является их простота (нужна только одна индуктивность без отводов).

Напряжение обратной связи снимается с ёмкостного делителя напряжения.

Рис.1.1 Простой генератор Колпитца с общей базой (с упрощёнными цепями смещения)

Рис.1.2 Эквивалентная схема генератора Колпитца

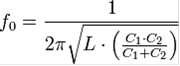
Идеальная частота генерации для схемы на рис.1.1 определяется уравнением:

Действительные схемы генерируют немного меньшую частоту.

Рис.1.3 Практическая схема генератора Колпитца с общей базой

В зависимости от схемы усилительного каскада возможны три вида генератора Колпитца: на каскаде с общим эмиттером, на каскаде с общим коллектором и на каскаде с общей базой. Характерной особенностью генератора Колпитца является положительная обратная связь через ёмкостный делитель напряжения на двух последовательных конденсаторах, которые одновременно являются ёмкостью LC-контура.

Схема генератора Колпитца на каскаде с общей базой наиболее высокочастотна. Каскад с общей базой фазу не сдвигает. Контур LC1C2 полностью подключен к коллектору. Полное включение контура фазу не сдвигает. Эмиттер подключен к контуру к средней точке ёмкостного делителя напряжения с перекосом фазы, при равных C1 и C2 перекос фазы и петлевой сдвиг фазы составляет 45°. Кроме этого сдвиг на 60° создаёт RC цепь образованная эквивалентной ёмкостью конденсаторов C1 и C2 и резистором R, что усложняет вычисление результирующего сдвига.

Разновидностью генератора Колпитца со вторым ёмкостным делителем напряжения является генератор Вачкара.

В 1949 г. чешский инженер Вачкар опубликовал статью с разработанным им стабильным генератором. Он предложил вариант генератора Колпитца, в котором дополнительный ёмкостной делитель напряжения на сеточном входе уменьшал напряжение обратной связи до необходимой величины, и в то же время уменьшал нежелательную нестабильность трубчатого конденсатора.

Рассмотрим труды ученых которые внесли вклад в исследовании автоколебательных систем.

Основные работы К.Ф. Теодорчика, носящие главным образом теоретический и даже математический характер, неразрывно связаны по своему внутреннему существу с задачами современной техники, экспериментальными исследованиями и основаны на глубоком физическом анализе. Только удачное сочетание во всех работах физического и математического анализа обеспечило К.Ф. Теодорчику успех в деле создания теоретических методов исследования сложных явлений в автоколебательных системах, в том числе и в системах автоматического регулирования. Правильное сочетание теории и практики в научных исследованиях, постоянная и неразрывная связь с запросами создателей новой техники определили получение исключительных результатов многолетнего труда К.Ф. Теодорчика, его сотрудников и учеников в области теории колебаний.

Книга Теодорчика К.Ф. « Автоколебательные системы» посвящена теории автоколебательных и потенциально-автоколебательных систем, т. е. систем динамических (электрических, механических и электромеханических), в которых при известных условиях может нарушаться устойчивость положения равновесия и возникать движение, переводящее систему в режим стационарных периодических колебаний.

В книге изложены простые методы приближённого решения технических задач, возникающих при работе таких систем.

В книге развиты энергетический и амплитудно-фазовый методы, которые допускают прозрачную физическую интерпретацию и углубление понимания механизма автоколебательных процессов. На базе этих методов даны простые и надёжные способы приближённого решения многочисленных технических вопросов, возникающих при практическом применении нелинейных динамических систем-как электрических, так и механических.

Перейти на страницу: 1 2 3 4 5

Самое читаемое:

Изготовление цифрового прибора для контроля осанки и зрения при работе на персональном компьютере
Современную жизнь невозможно представить без электроники и ее важнейшей отрасли - микроэлектроники. В любом месте - на работе и в быту - изделия из электроники окружают человека. Она трудится повсюду - в сверхглубоких скважинах и в подводных аппаратах - батискафах, в самолетах и космических кораблях, на атомных электростанциях и рад ...

www.techstages.ru : Все права защищены! 2025