Разделы сайта

Расчет КПД антенны

Произведём полный расчёт КПД, учитывающий дополнительные потери из-за неполного согласования МПИ с линией питания ηр, где

, а означает комплексный коэффициент отражения от входа МПИ. Поскольку в полосе рабочих частот значительно меняется, то величина существенно зависит от частоты. При упрощенной оценке можно рассчитать КПД лишь в той точке рабочего диапазона, где потери максимальны. В этом случае . В результате получим следующее значение КПД:

Рассчитаем суммарный коэффициент полезного действия решётки

Расчет КНД антенны

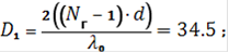
КНД решётки с равномерным синфазным распределением поля вычисляется как произведение соответствующих КНД в вертикальной и горизонтальной плоскости:

где , - длина антенной решетки в горизонтальной и вертикальной плоскости;

Т.о. КНД антенной решетки: D = · =2439;

Расчет коэффициента усиления антенны

Расчет КУ выполним по следующей формуле:

.4 Расчет ДН антенны в Е-плоскости на центральной частоте рабочего диапазона

ДН антенной решетки можно определить через характеристику направленности отдельно взятого МПИ и множитель системы, учитывающий взаимодействие всех МПИ.

В Е-плоскости ДН антенны можно определить по формулам:

где - ХН антенны;

- ХН МПИ (определённая в п.п.3.3).;

=16 - число излучателей в вертикальной плоскости;= 0.013м - шаг решетки.

Ширина главного лепестка .

Рис. 7.1

Самое читаемое:

Характеристики нанотолщинных композиционных слоистых покрытий на гибких подложках после деформации
Жидкокристаллические индикаторы широко используют в оптических устройствах отображения информации, в частности, как составную часть жидкокристаллических дисплеев. В зависимости от материала подложек различают жесткие (стеклянные подложки) и гибкие (пластиковые подложки) индикаторы. Преимущества гибких индикаторов в компактности, пр ...

www.techstages.ru : Все права защищены! 2025