Разделы сайта

Подпрограмма статистической обработки

Обработка результатов наблюдений при прямых измерениях.

Измерения не могут быть выполнены абсолютно точно. Всегда имеется некоторая неопределенность в значении измеряемой величины. Нашей задачей является найти оценку отклонения истинной величины от измеренной. Погрешности физических измерений принято подразделять на систематические, случайные и грубые. Нас же интересуют случайные, проявление которых неодинаково в каждом измерении и не может быть учтена. Закономерности, описывающие поведение случайных величин, изучаются теорией вероятностей.[17].

При статистической обработке результатов наблюдений выполняются следующие операции:

1) Находим среднее арифметическое всех n измерений xi , где i принимает значения от 1 до n:

где n ⎯ число результатов наблюдений; Xi ⎯ i-ый результат наблюдения.

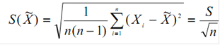
2) Оцениваем дисперсию (среднеквадратичная погрешность - отклонение от среднего - СКО)

3) Находим случайную абсолютную погрешность прямого измерения:

,

где t(n,p) - коэффициент Стьюдента, который зависит от числа измерений n и вероятности p, с которой мы хотим указать погрешность ∆xсл( половина доверительного интервала для среднего арифметического). Полученные значения сравниваются с погрешностью градуировки прибора и, если они различаются на порядок и более, то берется наибольшее из них. Если они сравнимы по величине, то полную погрешность вычисляют как корень квадратный из суммы квадратов этих погрешностей.[18].[9].

4) Находим относительную погрешность прямого измерения:

,

5) Выводим результат в виде:

.

Программа приведена в приложении Д.

Самое читаемое:

Разработка мер совершенствования системы инженерно-технической защиты информации в конференц-зале коллекторского агентства
В современных условиях информация играет решающую роль, как в процессе экономического развития, так и в ходе конкурентной борьбы на внутреннем и внешнем рынках. Успешное функционирование и развитие предприятий все больше зависит от совершенствования их деятельности в области обеспечения информационной безопасности в сфере произво ...

www.techstages.ru : Все права защищены! 2025